About Why tutor? Resources Useful tips Funny math Contact

Upgrade your math and physics!

Math and physics tutoring for high school students in Calgary SW

Common calculator mistakes to avoid - do not save on brakets!

It is a very simple topic, however these are the most common mistakes some student make using calcutor.
Be careful, because these simple mistakes may cost you your mark!

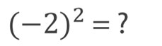
If you type on your TI-83/84, -2^2 you get answer of -4 that is incorrect!
The correct way to type is (-2)^2 Than you get a correct answer of 4.

If you type 100 + 200 / 100 you get incorrect answer 200 . The correct way to type it is to use brackets: (100 + 200) / 2 This way you get a correct answer 150.

Check if you calculator is in Radian or Degree mode before calculating trigonometrical functions!

You would expect that sin(30°) = 0.5. But it is not! This is a sign that your calculator is in radian mode. If you wanded to input degrees, you have to switch it.

The simlest advise to avoid all these calculation mistakes would be - do not save on brakets!

All what you wanted to know about logarithms but were afraid to ask

Sometimes logarithms look too complicated. Here are some simple identities which help to understand what actually logarithms mean.


So, to make it simple, you can think about logarithms as about another way to write down an exponential function